ループ電源電圧 | DAC の出力電圧 | 出力電流 | エラー |
---|---|---|---|
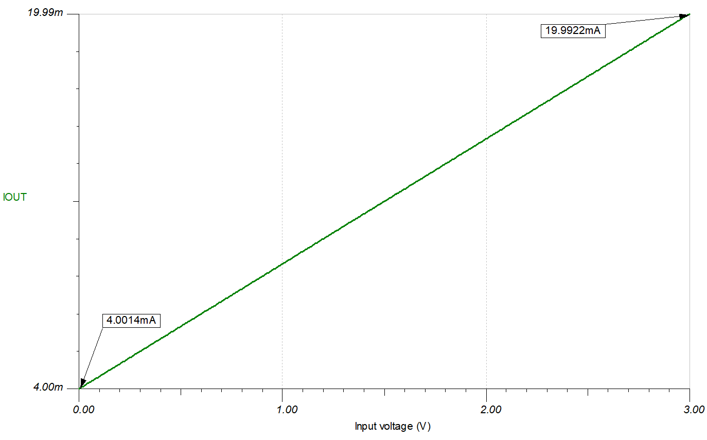
12V–36V | 0V–3V | 4mA~20mA | <1% FSR |
電流ループ トランスミッタは、電源、トランスミッタ、負荷抵抗で構成される直列ループの電流をレギュレートします。トランスミッタのアクティブ回路は、ループ電流から電力を抽出します。これは、すべてのデバイスの消費電流がゼロスケール電流 (一部のアプリケーションでは3.5mA 程度です) より小さい必要があることを意味します。レギュレータはループ電圧を降圧して DAC、オペアンプ、その他の回路に供給します。オペアンプはトランジスタをバイアスし、Loop+ から Loop- に流れる電流をレギュレートします。この回路は、2 線式フィールド センサ トランスミッタ、たとえば流量トランスミッタ、レベル トランスミッタ、圧力トランスミッタ、温度トランスミッタなどで一般的に使用されます。
出力電流の伝達関数は次のとおりです。
1. R3/R4 に大きな比を選択します。
2.ゼロスケール電流 (4mA)、レギュレータ電圧、ゲイン比率 (R3/R4) に基づいて、R2 を計算します。
3.フルスケール DAC 電圧と、16mA の電流スパンに基づいて、フルスケール電流を設定する R1 を計算します。
4.選択した抵抗値に基づいて、ゼロスケール出力電流を計算します。
5.選択した抵抗値に基づいて、フルスケール電流を計算します。
デバイス | 主な特長 | リンク | 他の使用可能デバイス |
---|---|---|---|
DAC | |||
DAC7311 | 12 ビット分解能、シングル チャネル、超低消費電力、1LSB INL、SPI、2V~5.5V 電源 | 6 ピン SC70 パッケージ封止、バッテリ動作アプリケーション向け、12 ビット、シングルチャネル、超低消費電力 DAC | 高精度 DAC (≦ 10MSPS) |
DAC8411 | 16 ビット分解能、シングル チャネル、基準電圧内蔵、超低消費電力、4LSB INL、SPI、2V~5.5V 電源 | 16 ビット、シングル チャネル、80uA、2.0V~5.5V DAC、SC70 パッケージ | 高精度 DAC (≦ 10MSPS) |
DAC8830 | 16 ビット分解能、シングル チャネル、超低消費電力、バッファなし出力、1LSB INL、SPI、2.7V~5.5V 電源 | 16 ビット、シングルチャネル、超低消費電力、電圧出力 DAC | 高精度 DAC (≦ 10MSPS) |
DAC161S997 | 16 ビット、4~20mA 電流出力、100uA 電源電流、SPI、2.7V~3.3V 電源 | 基準電圧内蔵、4mA~20mA 電流ループで駆動、16 ビット、高精度 DAC | 高精度 DAC (≦ 10MSPS) |
アンプ | |||
TLV9001 | 低消費電力、0.4mV オフセット、レール ツー レール I/O、1.8V~5.5V 電源 | 1 チャネル、1MHz、レール ツー レール入出力 (RRIO)、1.8V~5.5V のオペアンプ | オペアンプ |
OPA317 | ゼロドリフト、低オフセット、レール ツー レール I/O、最大 35uA 電源電流、2.5V~5.5V 電源 | 低オフセット、レール ツー レール I/O オペアンプ | オペアンプ |
OPA333 | マイクロパワー、ゼロドリフト、低オフセット、レール ツー レール I/O、1.8V~5.5V 電源 | マイクロパワー、1.8V、17μA、ゼロドリフト CMOS 高精度オペアンプ | オペアンプ |
テキサス・インスツルメンツ、低コスト、ループ電源使用 4~20mA トランスミッタ、EMC/EMI テスト済み、TIPD158 リファレンス デザイン
テキサス・インスツルメンツ、4~20mA 電流ループ トランスミッタ、TIDA-00648 リファレンス デザイン
テキサス・インスツルメンツ、HART® モデム搭載、高精度、ループ電源使用 4mA~20mA フィールド トランスミッタ、TIDA-01504 リファレンス デザイン
テキサス・インスツルメンツ、SLAA866 用のソース ファイル、SLAC782 ソフトウェア サポート